Maharashtra Board Class 9th Algebra Real Numbers Solutions

Welcome to Maharashtra Board Class 9th Algebra Real Numbers Solutions at MaharashtraBoardSolutions. We provide free access to detailed, step-by-step solutions for the Real Numbers chapter of Algebra subject, prescribed by the Maharashtra State Board of Secondary and Higher Secondary Education (MSBSHSE) for Class 9th students.

Maharashtra Board Class 9th Algebra Real Numbers Solutions

View the following solutions for Maharashtra Board Class 9th Algebra Real Numbers. These solutions are available for viewing online.

Maharashtra Board Class 9th Algebra Real Numbers Solution 1
https://maharashtraboardsolutionss.com
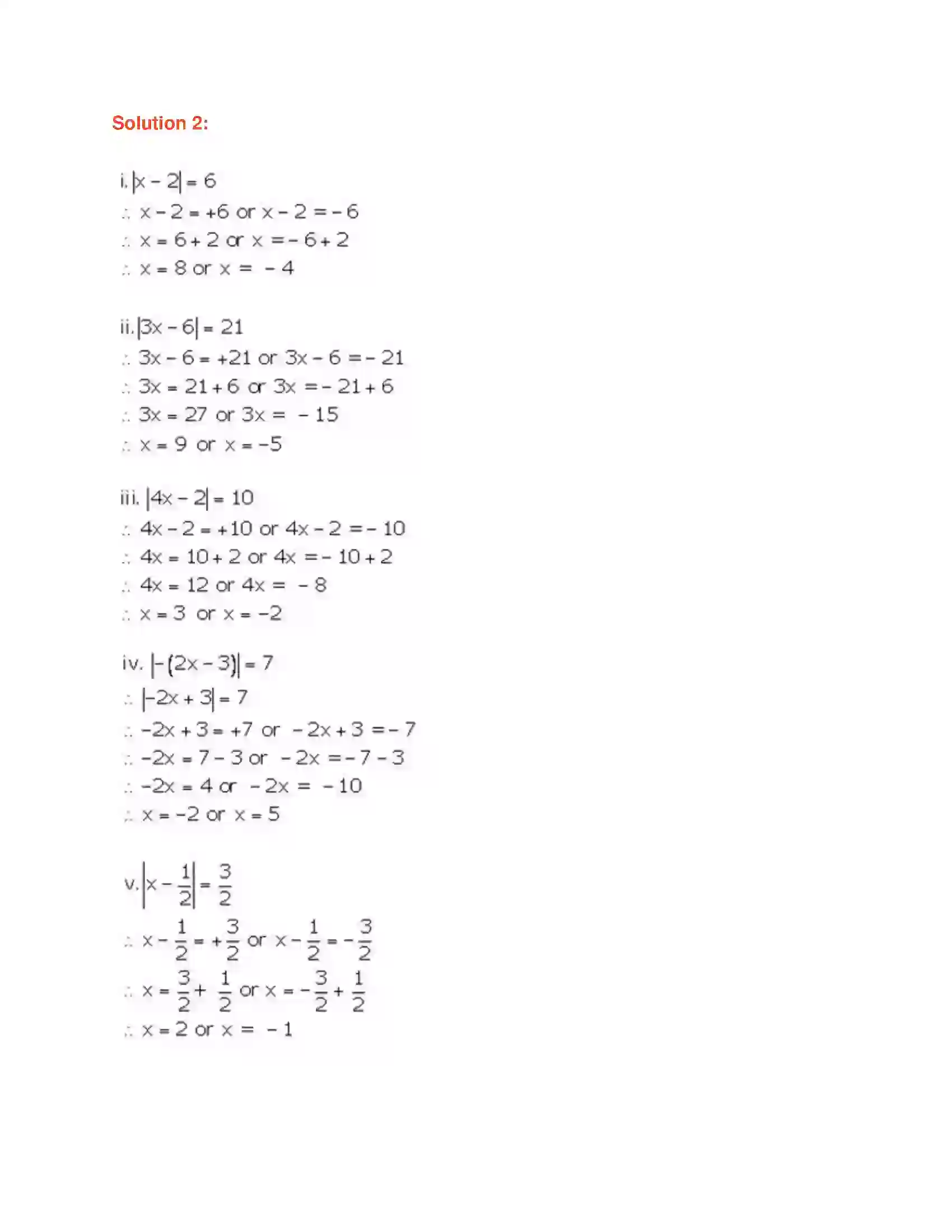
Maharashtra Board Class 9th Algebra Real Numbers Solution 2
https://maharashtraboardsolutionss.com
Maharashtra Board Class 9th Algebra Real Numbers Solution 3
https://maharashtraboardsolutionss.com
Maharashtra Board Class 9th Algebra Real Numbers Solution 4
https://maharashtraboardsolutionss.com
Maharashtra Board Class 9th Algebra Real Numbers Solution 5
https://maharashtraboardsolutionss.com
Maharashtra Board Class 9th Algebra Real Numbers Solution 6
https://maharashtraboardsolutionss.com
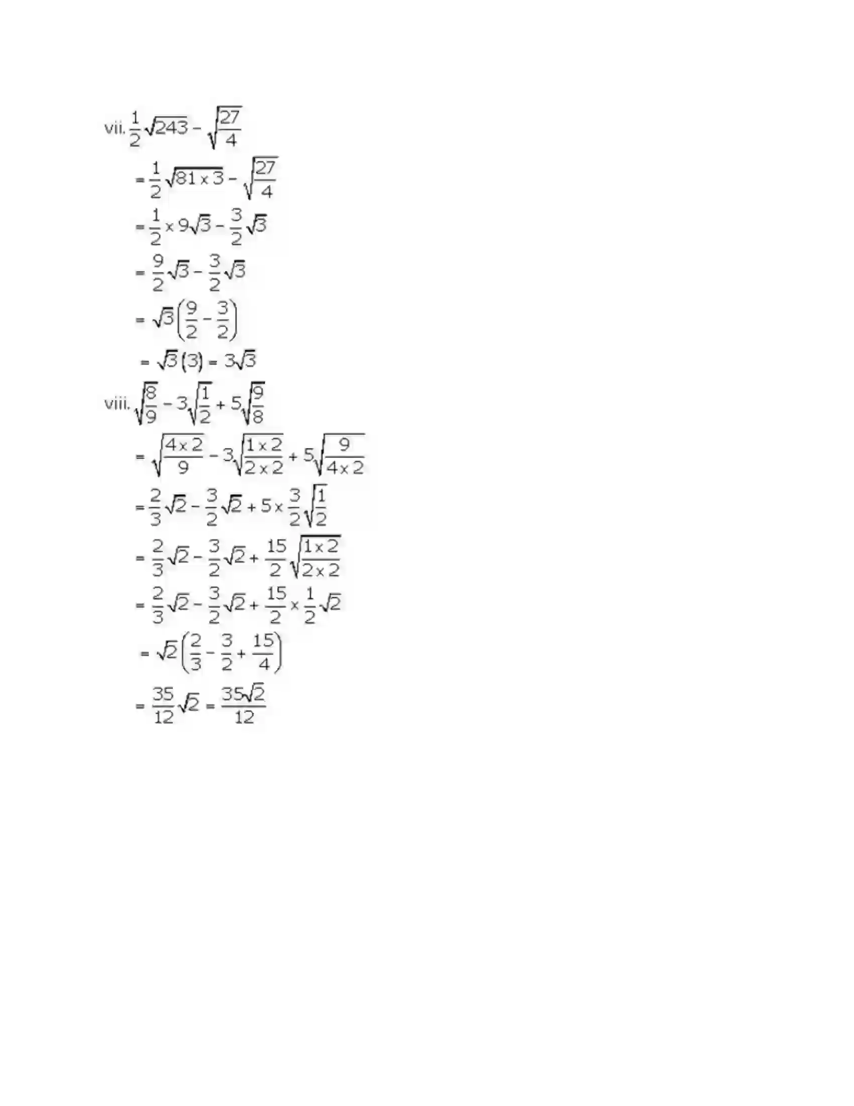
Maharashtra Board Class 9th Algebra Real Numbers Solution 7
https://maharashtraboardsolutionss.com
Maharashtra Board Class 9th Algebra Real Numbers Solution 8
https://maharashtraboardsolutionss.com
Maharashtra Board Class 9th Algebra Real Numbers Solution 9
https://maharashtraboardsolutionss.com
Maharashtra Board Class 9th Algebra Real Numbers Solution 10
https://maharashtraboardsolutionss.com
Maharashtra Board Class 9th Algebra Real Numbers Solution 11
https://maharashtraboardsolutionss.com
Maharashtra Board Class 9th Algebra Real Numbers Solution 12
https://maharashtraboardsolutionss.com
Maharashtra Board Class 9th Algebra Real Numbers Solution 13
https://maharashtraboardsolutionss.com
Maharashtra Board Class 9th Algebra Real Numbers Solution 14
https://maharashtraboardsolutionss.com
Maharashtra Board Class 9th Algebra Real Numbers Solution 15
https://maharashtraboardsolutionss.com
Maharashtra Board Class 9th Algebra Real Numbers Solution 16
https://maharashtraboardsolutionss.com
Maharashtra Board Class 9th Algebra Real Numbers Solution 17
https://maharashtraboardsolutionss.com
Maharashtra Board Class 9th Algebra Real Numbers Solution 18
https://maharashtraboardsolutionss.com
Maharashtra Board Class 9th Algebra Real Numbers Solution 19
https://maharashtraboardsolutionss.com
Maharashtra Board Class 9th Algebra Real Numbers Solution 20
https://maharashtraboardsolutionss.com
Maharashtra Board Class 9th Algebra Real Numbers Solution 21
https://maharashtraboardsolutionss.com
Maharashtra Board Class 9th Algebra Real Numbers Solution 22
https://maharashtraboardsolutionss.com
Maharashtra Board Class 9th Algebra Real Numbers Solution 23
https://maharashtraboardsolutionss.com
Maharashtra Board Class 9th Algebra Real Numbers Solution 24
https://maharashtraboardsolutionss.com
Maharashtra Board Class 9th Algebra Real Numbers Solution 25
https://maharashtraboardsolutionss.com
Maharashtra Board Class 9th Algebra Real Numbers Solution 26
https://maharashtraboardsolutionss.com
Maharashtra Board Class 9th Algebra Real Numbers Solution 27
https://maharashtraboardsolutionss.com
Maharashtra Board Class 9th Algebra Real Numbers Solution 28
https://maharashtraboardsolutionss.com
Maharashtra Board Class 9th Algebra Real Numbers Solution 29
https://maharashtraboardsolutionss.com
Maharashtra Board Class 9th Algebra Real Numbers Solution 30
https://maharashtraboardsolutionss.com
Maharashtra Board Class 9th Algebra Real Numbers Solution 31
https://maharashtraboardsolutionss.com
Maharashtra Board Class 9th Algebra Real Numbers Solution 32
https://maharashtraboardsolutionss.com
Maharashtra Board Class 9th Algebra Real Numbers Solution 33
https://maharashtraboardsolutionss.com
Maharashtra Board Class 9th Algebra Real Numbers Solution 34
https://maharashtraboardsolutionss.com
Maharashtra Board Class 9th Algebra Real Numbers Solution 35
https://maharashtraboardsolutionss.com
Maharashtra Board Class 9th Algebra Real Numbers Solution 36
https://maharashtraboardsolutionss.com
Maharashtra Board Class 9th Algebra Real Numbers Solution 37
https://maharashtraboardsolutionss.com
Maharashtra Board Class 9th Algebra Real Numbers Solution 38
https://maharashtraboardsolutionss.com
Maharashtra Board Class 9th Algebra Real Numbers Solution 39
https://maharashtraboardsolutionss.com

Our Maharashtra Board Class 9th Algebra Real Numbers Solutions section provides clear, step-by-step answers for textbook questions in the Real Numbers chapter. These solutions help students understand concepts better and learn the correct way to write answers in exams.

Prepared in simple language and exam-oriented format, the solutions cover all topics in the Real Numbers chapter. Whether you are revising at home or checking your practice work, Maharashtra Board Solutions help you learn accurately and prepare with confidence.

All Maharashtra Board Class 9th Algebra Real Numbers Solutions available on our platform can be viewed completely free of cost. There's no registration required, no payment needed, and no hidden charges.

Other Chapters of Algebra

Browse other chapters of Maharashtra Board Class 9th Algebra Solutions. Click on any chapter below to view its content.

Continue Your Maharashtra Board Class 9th Algebra Exam Preparation

Continue your exam preparation by exploring other chapters and resources. Combine these solutions with our other resources like Maharashtra Board Books, Previous Year Papers, and Revision Notes for comprehensive preparation.

If you have any questions or need assistance, contact us for help. We're here to help you succeed.