Maharashtra Board Class 9th Algebra Algebraic Expressions Solutions

Welcome to Maharashtra Board Class 9th Algebra Algebraic Expressions Solutions at MaharashtraBoardSolutions. We provide free access to detailed, step-by-step solutions for the Algebraic Expressions chapter of Algebra subject, prescribed by the Maharashtra State Board of Secondary and Higher Secondary Education (MSBSHSE) for Class 9th students.

Maharashtra Board Class 9th Algebra Algebraic Expressions Solutions

View the following solutions for Maharashtra Board Class 9th Algebra Algebraic Expressions. These solutions are available for viewing online.

Maharashtra Board Class 9th Algebra Algebraic Expressions Solution 1
https://maharashtraboardsolutionss.com
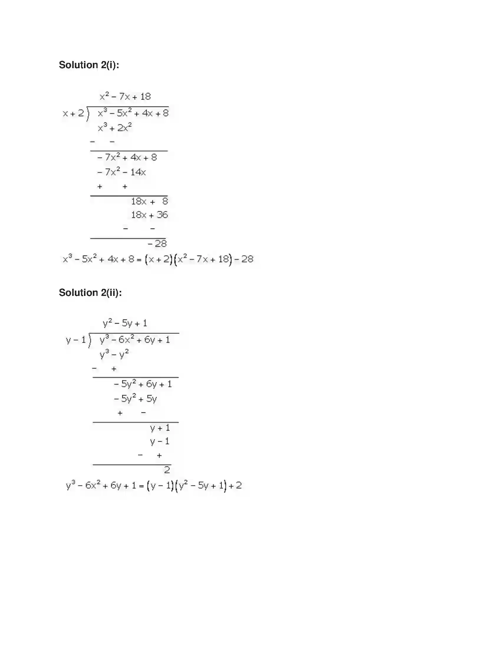
Maharashtra Board Class 9th Algebra Algebraic Expressions Solution 2
https://maharashtraboardsolutionss.com
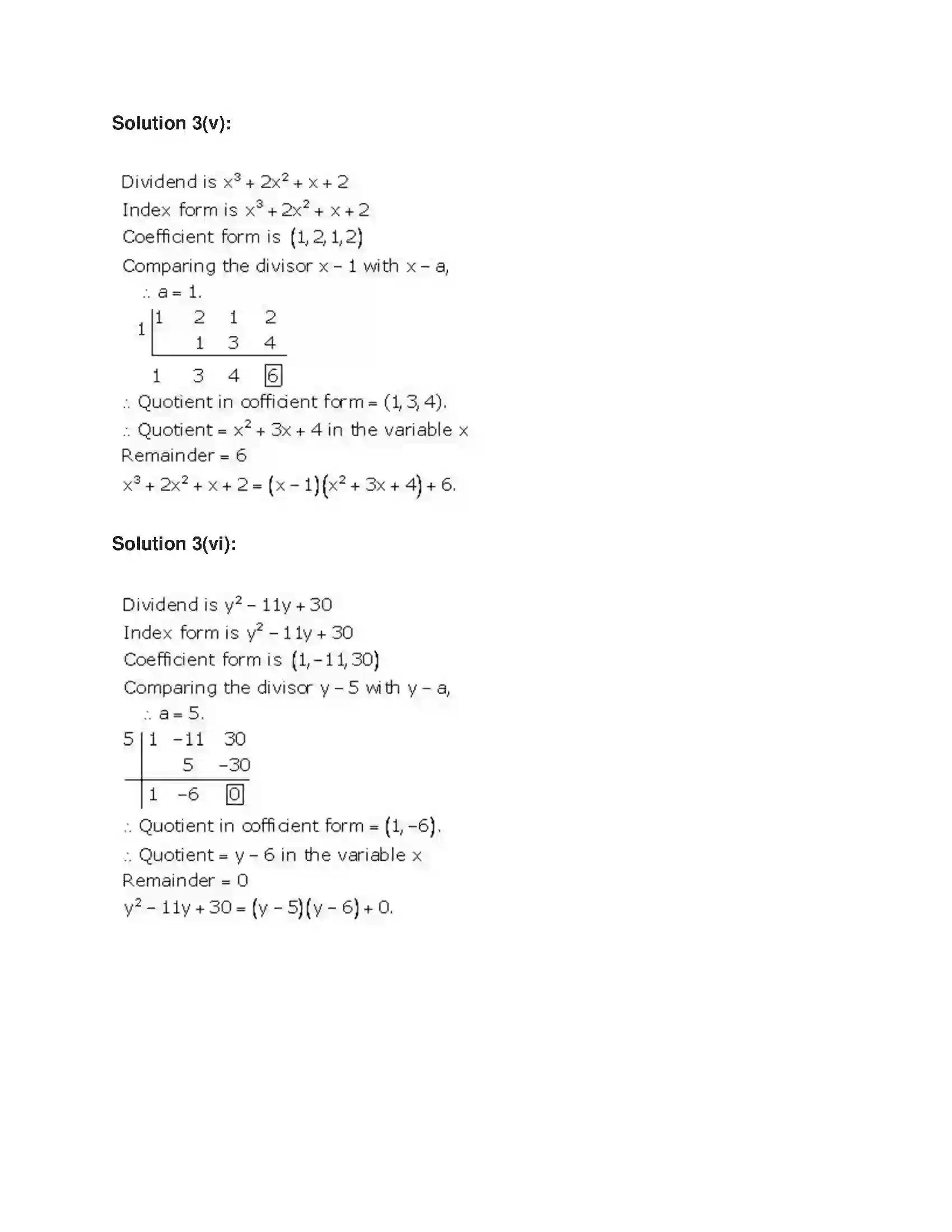
Maharashtra Board Class 9th Algebra Algebraic Expressions Solution 3
https://maharashtraboardsolutionss.com
Maharashtra Board Class 9th Algebra Algebraic Expressions Solution 4
https://maharashtraboardsolutionss.com
Maharashtra Board Class 9th Algebra Algebraic Expressions Solution 5
https://maharashtraboardsolutionss.com
Maharashtra Board Class 9th Algebra Algebraic Expressions Solution 6
https://maharashtraboardsolutionss.com
Maharashtra Board Class 9th Algebra Algebraic Expressions Solution 7
https://maharashtraboardsolutionss.com
Maharashtra Board Class 9th Algebra Algebraic Expressions Solution 8
https://maharashtraboardsolutionss.com
Maharashtra Board Class 9th Algebra Algebraic Expressions Solution 9
https://maharashtraboardsolutionss.com
Maharashtra Board Class 9th Algebra Algebraic Expressions Solution 10
https://maharashtraboardsolutionss.com
Maharashtra Board Class 9th Algebra Algebraic Expressions Solution 11
https://maharashtraboardsolutionss.com
Maharashtra Board Class 9th Algebra Algebraic Expressions Solution 12
https://maharashtraboardsolutionss.com
Maharashtra Board Class 9th Algebra Algebraic Expressions Solution 13
https://maharashtraboardsolutionss.com
Maharashtra Board Class 9th Algebra Algebraic Expressions Solution 14
https://maharashtraboardsolutionss.com
Maharashtra Board Class 9th Algebra Algebraic Expressions Solution 15
https://maharashtraboardsolutionss.com
Maharashtra Board Class 9th Algebra Algebraic Expressions Solution 16
https://maharashtraboardsolutionss.com
Maharashtra Board Class 9th Algebra Algebraic Expressions Solution 17
https://maharashtraboardsolutionss.com
Maharashtra Board Class 9th Algebra Algebraic Expressions Solution 18
https://maharashtraboardsolutionss.com
Maharashtra Board Class 9th Algebra Algebraic Expressions Solution 19
https://maharashtraboardsolutionss.com
Maharashtra Board Class 9th Algebra Algebraic Expressions Solution 20
https://maharashtraboardsolutionss.com
Maharashtra Board Class 9th Algebra Algebraic Expressions Solution 21
https://maharashtraboardsolutionss.com
Maharashtra Board Class 9th Algebra Algebraic Expressions Solution 22
https://maharashtraboardsolutionss.com
Maharashtra Board Class 9th Algebra Algebraic Expressions Solution 23
https://maharashtraboardsolutionss.com
Maharashtra Board Class 9th Algebra Algebraic Expressions Solution 24
https://maharashtraboardsolutionss.com
Maharashtra Board Class 9th Algebra Algebraic Expressions Solution 25
https://maharashtraboardsolutionss.com
Maharashtra Board Class 9th Algebra Algebraic Expressions Solution 26
https://maharashtraboardsolutionss.com
Maharashtra Board Class 9th Algebra Algebraic Expressions Solution 27
https://maharashtraboardsolutionss.com
Maharashtra Board Class 9th Algebra Algebraic Expressions Solution 28
https://maharashtraboardsolutionss.com
Maharashtra Board Class 9th Algebra Algebraic Expressions Solution 29
https://maharashtraboardsolutionss.com
Maharashtra Board Class 9th Algebra Algebraic Expressions Solution 30
https://maharashtraboardsolutionss.com
Maharashtra Board Class 9th Algebra Algebraic Expressions Solution 31
https://maharashtraboardsolutionss.com
Maharashtra Board Class 9th Algebra Algebraic Expressions Solution 32
https://maharashtraboardsolutionss.com
Maharashtra Board Class 9th Algebra Algebraic Expressions Solution 33
https://maharashtraboardsolutionss.com
Maharashtra Board Class 9th Algebra Algebraic Expressions Solution 34
https://maharashtraboardsolutionss.com
Maharashtra Board Class 9th Algebra Algebraic Expressions Solution 35
https://maharashtraboardsolutionss.com

Our Maharashtra Board Class 9th Algebra Algebraic Expressions Solutions section provides clear, step-by-step answers for textbook questions in the Algebraic Expressions chapter. These solutions help students understand concepts better and learn the correct way to write answers in exams.

Prepared in simple language and exam-oriented format, the solutions cover all topics in the Algebraic Expressions chapter. Whether you are revising at home or checking your practice work, Maharashtra Board Solutions help you learn accurately and prepare with confidence.

All Maharashtra Board Class 9th Algebra Algebraic Expressions Solutions available on our platform can be viewed completely free of cost. There's no registration required, no payment needed, and no hidden charges.

Other Chapters of Algebra

Browse other chapters of Maharashtra Board Class 9th Algebra Solutions. Click on any chapter below to view its content.

Continue Your Maharashtra Board Class 9th Algebra Exam Preparation

Continue your exam preparation by exploring other chapters and resources. Combine these solutions with our other resources like Maharashtra Board Books, Previous Year Papers, and Revision Notes for comprehensive preparation.

If you have any questions or need assistance, contact us for help. We're here to help you succeed.