Maharashtra Board Class 9th Algebra Ratio and Proportion Solutions

Welcome to Maharashtra Board Class 9th Algebra Ratio and Proportion Solutions at MaharashtraBoardSolutions. We provide free access to detailed, step-by-step solutions for the Ratio and Proportion chapter of Algebra subject, prescribed by the Maharashtra State Board of Secondary and Higher Secondary Education (MSBSHSE) for Class 9th students.

Maharashtra Board Class 9th Algebra Ratio and Proportion Solutions

View the following solutions for Maharashtra Board Class 9th Algebra Ratio and Proportion. These solutions are available for viewing online.

Maharashtra Board Class 9th Algebra Ratio and Proportion Solution 1
https://maharashtraboardsolutionss.com
Maharashtra Board Class 9th Algebra Ratio and Proportion Solution 2
https://maharashtraboardsolutionss.com
Maharashtra Board Class 9th Algebra Ratio and Proportion Solution 3
https://maharashtraboardsolutionss.com
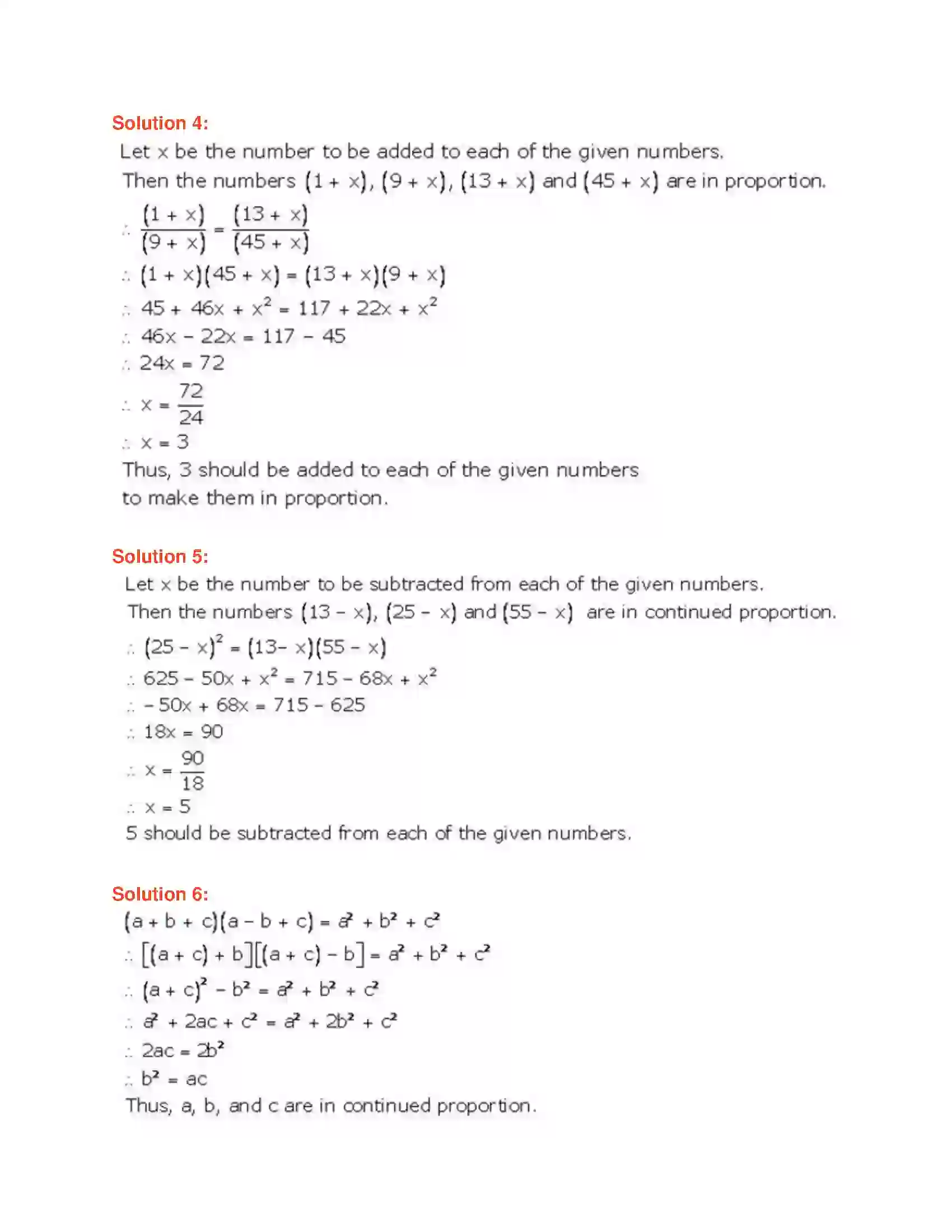
Maharashtra Board Class 9th Algebra Ratio and Proportion Solution 4
https://maharashtraboardsolutionss.com
Maharashtra Board Class 9th Algebra Ratio and Proportion Solution 5
https://maharashtraboardsolutionss.com
Maharashtra Board Class 9th Algebra Ratio and Proportion Solution 6
https://maharashtraboardsolutionss.com
Maharashtra Board Class 9th Algebra Ratio and Proportion Solution 7
https://maharashtraboardsolutionss.com
Maharashtra Board Class 9th Algebra Ratio and Proportion Solution 8
https://maharashtraboardsolutionss.com
Maharashtra Board Class 9th Algebra Ratio and Proportion Solution 9
https://maharashtraboardsolutionss.com
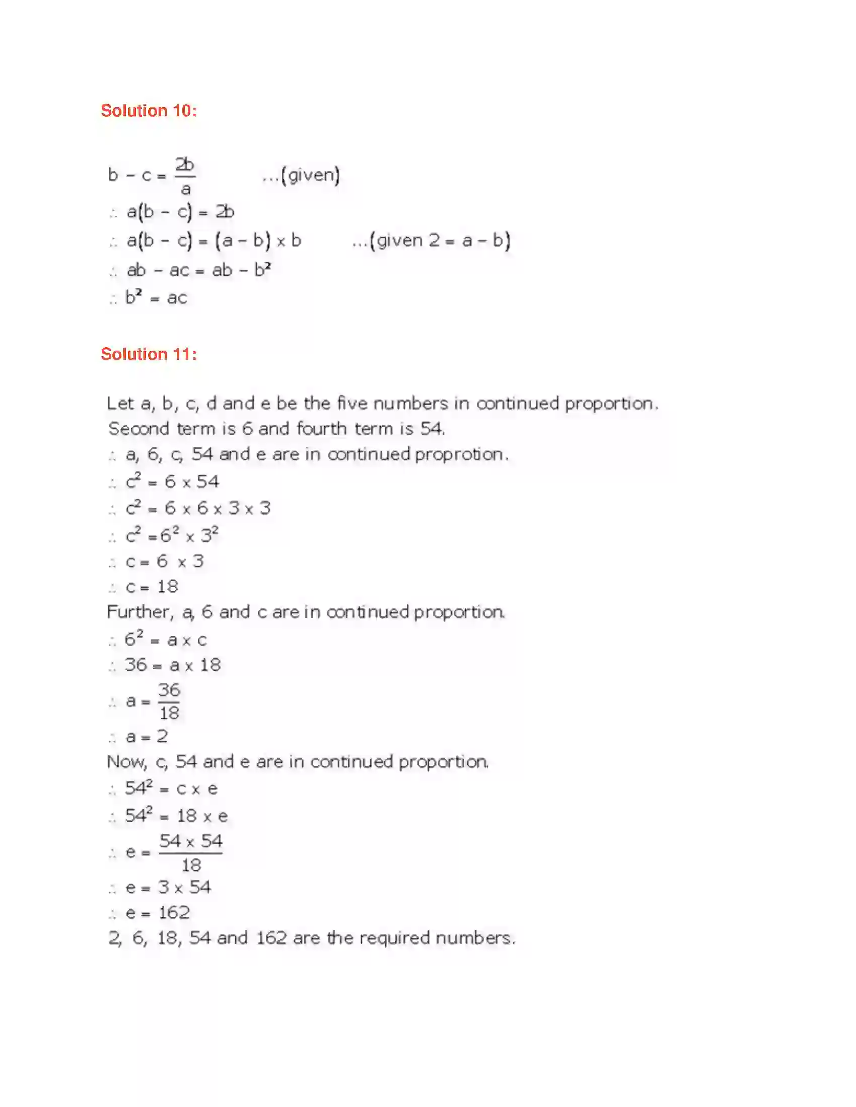
Maharashtra Board Class 9th Algebra Ratio and Proportion Solution 10
https://maharashtraboardsolutionss.com
Maharashtra Board Class 9th Algebra Ratio and Proportion Solution 11
https://maharashtraboardsolutionss.com
Maharashtra Board Class 9th Algebra Ratio and Proportion Solution 12
https://maharashtraboardsolutionss.com
Maharashtra Board Class 9th Algebra Ratio and Proportion Solution 13
https://maharashtraboardsolutionss.com
Maharashtra Board Class 9th Algebra Ratio and Proportion Solution 14
https://maharashtraboardsolutionss.com
Maharashtra Board Class 9th Algebra Ratio and Proportion Solution 15
https://maharashtraboardsolutionss.com
Maharashtra Board Class 9th Algebra Ratio and Proportion Solution 16
https://maharashtraboardsolutionss.com
Maharashtra Board Class 9th Algebra Ratio and Proportion Solution 17
https://maharashtraboardsolutionss.com
Maharashtra Board Class 9th Algebra Ratio and Proportion Solution 18
https://maharashtraboardsolutionss.com
Maharashtra Board Class 9th Algebra Ratio and Proportion Solution 19
https://maharashtraboardsolutionss.com
Maharashtra Board Class 9th Algebra Ratio and Proportion Solution 20
https://maharashtraboardsolutionss.com
Maharashtra Board Class 9th Algebra Ratio and Proportion Solution 21
https://maharashtraboardsolutionss.com
Maharashtra Board Class 9th Algebra Ratio and Proportion Solution 22
https://maharashtraboardsolutionss.com
Maharashtra Board Class 9th Algebra Ratio and Proportion Solution 23
https://maharashtraboardsolutionss.com
Maharashtra Board Class 9th Algebra Ratio and Proportion Solution 24
https://maharashtraboardsolutionss.com
Maharashtra Board Class 9th Algebra Ratio and Proportion Solution 25
https://maharashtraboardsolutionss.com
Maharashtra Board Class 9th Algebra Ratio and Proportion Solution 26
https://maharashtraboardsolutionss.com
Maharashtra Board Class 9th Algebra Ratio and Proportion Solution 27
https://maharashtraboardsolutionss.com
Maharashtra Board Class 9th Algebra Ratio and Proportion Solution 28
https://maharashtraboardsolutionss.com
Maharashtra Board Class 9th Algebra Ratio and Proportion Solution 29
https://maharashtraboardsolutionss.com
Maharashtra Board Class 9th Algebra Ratio and Proportion Solution 30
https://maharashtraboardsolutionss.com
Maharashtra Board Class 9th Algebra Ratio and Proportion Solution 31
https://maharashtraboardsolutionss.com
Maharashtra Board Class 9th Algebra Ratio and Proportion Solution 32
https://maharashtraboardsolutionss.com
Maharashtra Board Class 9th Algebra Ratio and Proportion Solution 33
https://maharashtraboardsolutionss.com
Maharashtra Board Class 9th Algebra Ratio and Proportion Solution 34
https://maharashtraboardsolutionss.com
Maharashtra Board Class 9th Algebra Ratio and Proportion Solution 35
https://maharashtraboardsolutionss.com

Our Maharashtra Board Class 9th Algebra Ratio and Proportion Solutions section provides clear, step-by-step answers for textbook questions in the Ratio and Proportion chapter. These solutions help students understand concepts better and learn the correct way to write answers in exams.

Prepared in simple language and exam-oriented format, the solutions cover all topics in the Ratio and Proportion chapter. Whether you are revising at home or checking your practice work, Maharashtra Board Solutions help you learn accurately and prepare with confidence.

All Maharashtra Board Class 9th Algebra Ratio and Proportion Solutions available on our platform can be viewed completely free of cost. There's no registration required, no payment needed, and no hidden charges.

Other Chapters of Algebra

Browse other chapters of Maharashtra Board Class 9th Algebra Solutions. Click on any chapter below to view its content.

Continue Your Maharashtra Board Class 9th Algebra Exam Preparation

Continue your exam preparation by exploring other chapters and resources. Combine these solutions with our other resources like Maharashtra Board Books, Previous Year Papers, and Revision Notes for comprehensive preparation.

If you have any questions or need assistance, contact us for help. We're here to help you succeed.