Maharashtra Board Class 9th Mathematics Part-I - English Medium Polynomials Solutions

Welcome to Maharashtra Board Class 9th Mathematics Part-I - English Medium Polynomials Solutions at MaharashtraBoardSolutions. We provide free access to detailed, step-by-step solutions for the Polynomials chapter of Mathematics Part-I - English Medium subject, prescribed by the Maharashtra State Board of Secondary and Higher Secondary Education (MSBSHSE) for Class 9th students.

Maharashtra Board Class 9th Mathematics Part-I - English Medium Polynomials Solutions

View the following solutions for Maharashtra Board Class 9th Mathematics Part-I - English Medium Polynomials. These solutions are available for viewing online.

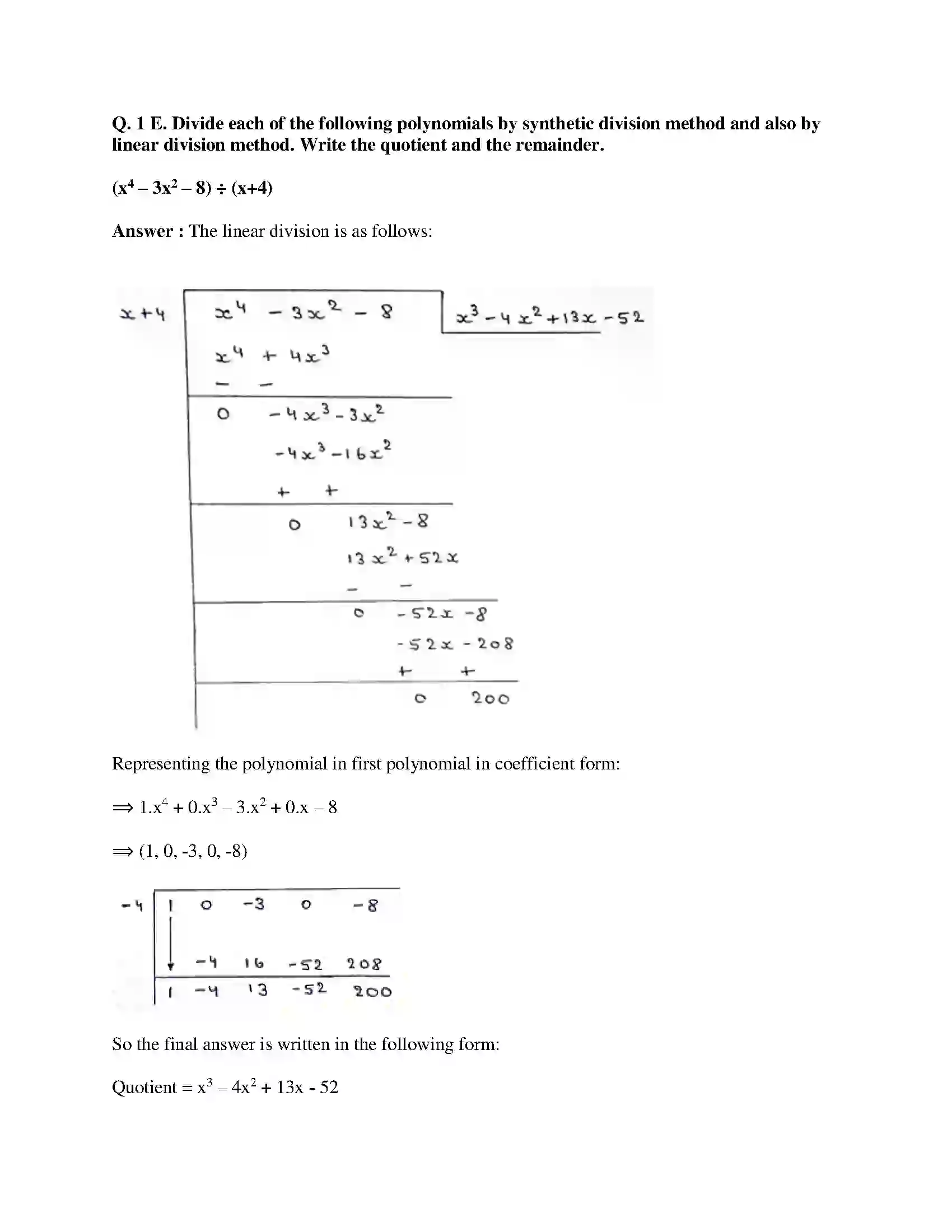
Maharashtra Board Class 9th Mathematics Part-I - English Medium Polynomials Solution 1
https://maharashtraboardsolutionss.com
Maharashtra Board Class 9th Mathematics Part-I - English Medium Polynomials Solution 2
https://maharashtraboardsolutionss.com
Maharashtra Board Class 9th Mathematics Part-I - English Medium Polynomials Solution 3
https://maharashtraboardsolutionss.com
Maharashtra Board Class 9th Mathematics Part-I - English Medium Polynomials Solution 4
https://maharashtraboardsolutionss.com
Maharashtra Board Class 9th Mathematics Part-I - English Medium Polynomials Solution 5
https://maharashtraboardsolutionss.com
Maharashtra Board Class 9th Mathematics Part-I - English Medium Polynomials Solution 6
https://maharashtraboardsolutionss.com
Maharashtra Board Class 9th Mathematics Part-I - English Medium Polynomials Solution 7
https://maharashtraboardsolutionss.com
Maharashtra Board Class 9th Mathematics Part-I - English Medium Polynomials Solution 8
https://maharashtraboardsolutionss.com
Maharashtra Board Class 9th Mathematics Part-I - English Medium Polynomials Solution 9
https://maharashtraboardsolutionss.com
Maharashtra Board Class 9th Mathematics Part-I - English Medium Polynomials Solution 10
https://maharashtraboardsolutionss.com
Maharashtra Board Class 9th Mathematics Part-I - English Medium Polynomials Solution 11
https://maharashtraboardsolutionss.com
Maharashtra Board Class 9th Mathematics Part-I - English Medium Polynomials Solution 12
https://maharashtraboardsolutionss.com
Maharashtra Board Class 9th Mathematics Part-I - English Medium Polynomials Solution 13
https://maharashtraboardsolutionss.com
Maharashtra Board Class 9th Mathematics Part-I - English Medium Polynomials Solution 14
https://maharashtraboardsolutionss.com
Maharashtra Board Class 9th Mathematics Part-I - English Medium Polynomials Solution 15
https://maharashtraboardsolutionss.com
Maharashtra Board Class 9th Mathematics Part-I - English Medium Polynomials Solution 16
https://maharashtraboardsolutionss.com
Maharashtra Board Class 9th Mathematics Part-I - English Medium Polynomials Solution 17
https://maharashtraboardsolutionss.com
Maharashtra Board Class 9th Mathematics Part-I - English Medium Polynomials Solution 18
https://maharashtraboardsolutionss.com
Maharashtra Board Class 9th Mathematics Part-I - English Medium Polynomials Solution 19
https://maharashtraboardsolutionss.com
Maharashtra Board Class 9th Mathematics Part-I - English Medium Polynomials Solution 20
https://maharashtraboardsolutionss.com
Maharashtra Board Class 9th Mathematics Part-I - English Medium Polynomials Solution 21
https://maharashtraboardsolutionss.com
Maharashtra Board Class 9th Mathematics Part-I - English Medium Polynomials Solution 22
https://maharashtraboardsolutionss.com
Maharashtra Board Class 9th Mathematics Part-I - English Medium Polynomials Solution 23
https://maharashtraboardsolutionss.com
Maharashtra Board Class 9th Mathematics Part-I - English Medium Polynomials Solution 24
https://maharashtraboardsolutionss.com
Maharashtra Board Class 9th Mathematics Part-I - English Medium Polynomials Solution 25
https://maharashtraboardsolutionss.com
Maharashtra Board Class 9th Mathematics Part-I - English Medium Polynomials Solution 26
https://maharashtraboardsolutionss.com
Maharashtra Board Class 9th Mathematics Part-I - English Medium Polynomials Solution 27
https://maharashtraboardsolutionss.com
Maharashtra Board Class 9th Mathematics Part-I - English Medium Polynomials Solution 28
https://maharashtraboardsolutionss.com
Maharashtra Board Class 9th Mathematics Part-I - English Medium Polynomials Solution 29
https://maharashtraboardsolutionss.com
Maharashtra Board Class 9th Mathematics Part-I - English Medium Polynomials Solution 30
https://maharashtraboardsolutionss.com
Maharashtra Board Class 9th Mathematics Part-I - English Medium Polynomials Solution 31
https://maharashtraboardsolutionss.com
Maharashtra Board Class 9th Mathematics Part-I - English Medium Polynomials Solution 32
https://maharashtraboardsolutionss.com
Maharashtra Board Class 9th Mathematics Part-I - English Medium Polynomials Solution 33
https://maharashtraboardsolutionss.com
Maharashtra Board Class 9th Mathematics Part-I - English Medium Polynomials Solution 34
https://maharashtraboardsolutionss.com
Maharashtra Board Class 9th Mathematics Part-I - English Medium Polynomials Solution 35
https://maharashtraboardsolutionss.com
Maharashtra Board Class 9th Mathematics Part-I - English Medium Polynomials Solution 36
https://maharashtraboardsolutionss.com
Maharashtra Board Class 9th Mathematics Part-I - English Medium Polynomials Solution 37
https://maharashtraboardsolutionss.com
Maharashtra Board Class 9th Mathematics Part-I - English Medium Polynomials Solution 38
https://maharashtraboardsolutionss.com
Maharashtra Board Class 9th Mathematics Part-I - English Medium Polynomials Solution 39
https://maharashtraboardsolutionss.com
Maharashtra Board Class 9th Mathematics Part-I - English Medium Polynomials Solution 40
https://maharashtraboardsolutionss.com
Maharashtra Board Class 9th Mathematics Part-I - English Medium Polynomials Solution 41
https://maharashtraboardsolutionss.com
Maharashtra Board Class 9th Mathematics Part-I - English Medium Polynomials Solution 42
https://maharashtraboardsolutionss.com
Maharashtra Board Class 9th Mathematics Part-I - English Medium Polynomials Solution 43
https://maharashtraboardsolutionss.com
Maharashtra Board Class 9th Mathematics Part-I - English Medium Polynomials Solution 44
https://maharashtraboardsolutionss.com
Maharashtra Board Class 9th Mathematics Part-I - English Medium Polynomials Solution 45
https://maharashtraboardsolutionss.com
Maharashtra Board Class 9th Mathematics Part-I - English Medium Polynomials Solution 46
https://maharashtraboardsolutionss.com
Maharashtra Board Class 9th Mathematics Part-I - English Medium Polynomials Solution 47
https://maharashtraboardsolutionss.com
Maharashtra Board Class 9th Mathematics Part-I - English Medium Polynomials Solution 48
https://maharashtraboardsolutionss.com
Maharashtra Board Class 9th Mathematics Part-I - English Medium Polynomials Solution 49
https://maharashtraboardsolutionss.com
Maharashtra Board Class 9th Mathematics Part-I - English Medium Polynomials Solution 50
https://maharashtraboardsolutionss.com
Maharashtra Board Class 9th Mathematics Part-I - English Medium Polynomials Solution 51
https://maharashtraboardsolutionss.com

Our Maharashtra Board Class 9th Mathematics Part-I - English Medium Polynomials Solutions section provides clear, step-by-step answers for textbook questions in the Polynomials chapter. These solutions help students understand concepts better and learn the correct way to write answers in exams.

Prepared in simple language and exam-oriented format, the solutions cover all topics in the Polynomials chapter. Whether you are revising at home or checking your practice work, Maharashtra Board Solutions help you learn accurately and prepare with confidence.

All Maharashtra Board Class 9th Mathematics Part-I - English Medium Polynomials Solutions available on our platform can be viewed completely free of cost. There's no registration required, no payment needed, and no hidden charges.

Other Chapters of Mathematics Part-I - English Medium

Browse other chapters of Maharashtra Board Class 9th Mathematics Part-I - English Medium Solutions. Click on any chapter below to view its content.

Continue Your Maharashtra Board Class 9th Mathematics Part-I - English Medium Exam Preparation

Continue your exam preparation by exploring other chapters and resources. Combine these solutions with our other resources like Maharashtra Board Books, Previous Year Papers, and Revision Notes for comprehensive preparation.

If you have any questions or need assistance, contact us for help. We're here to help you succeed.