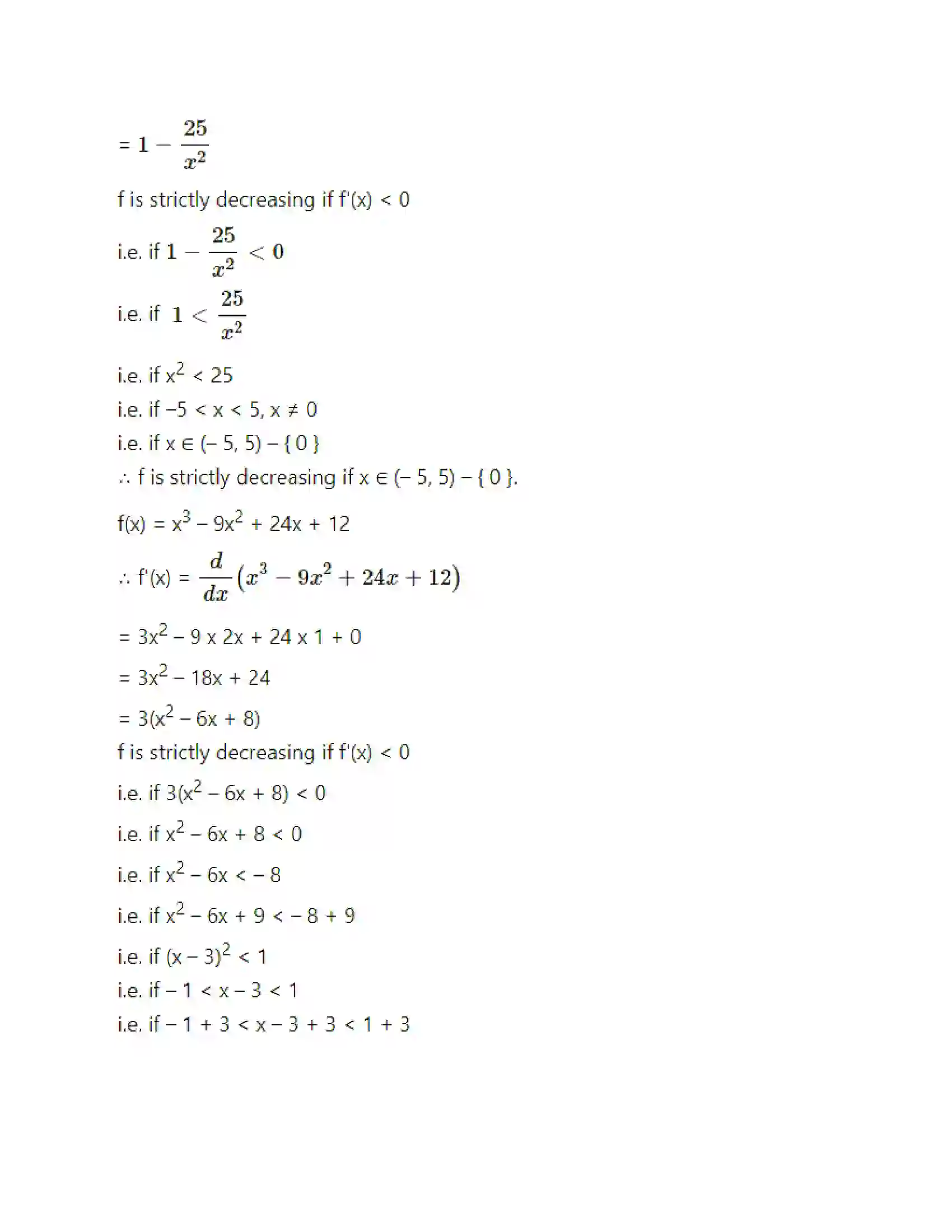
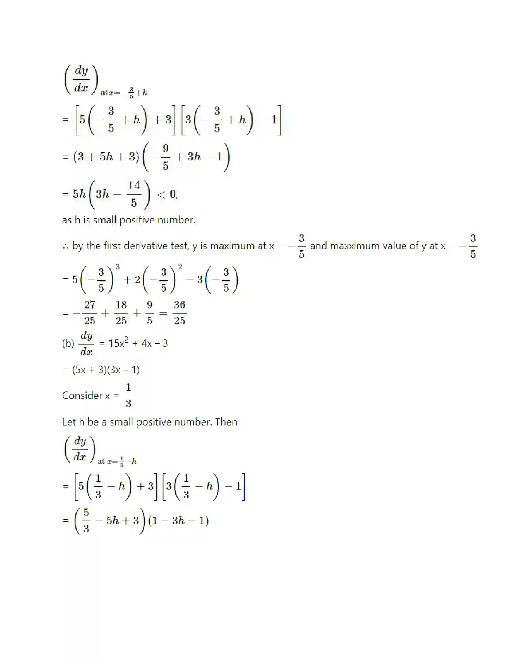
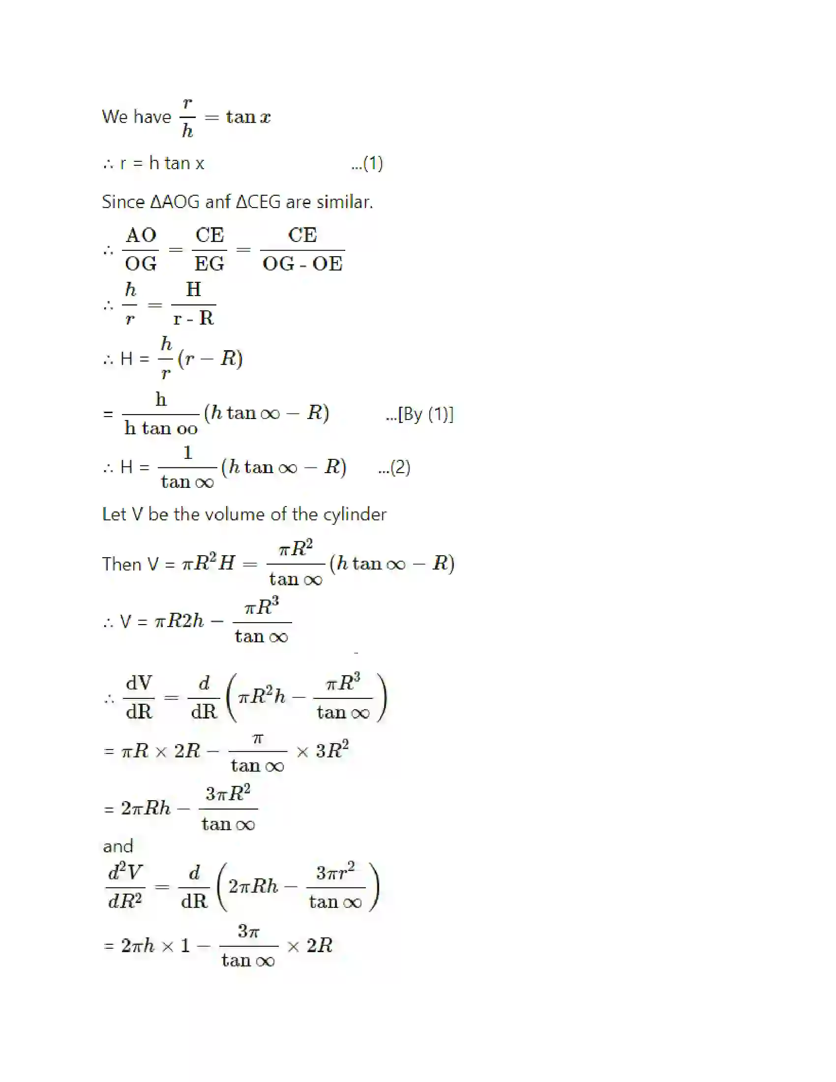
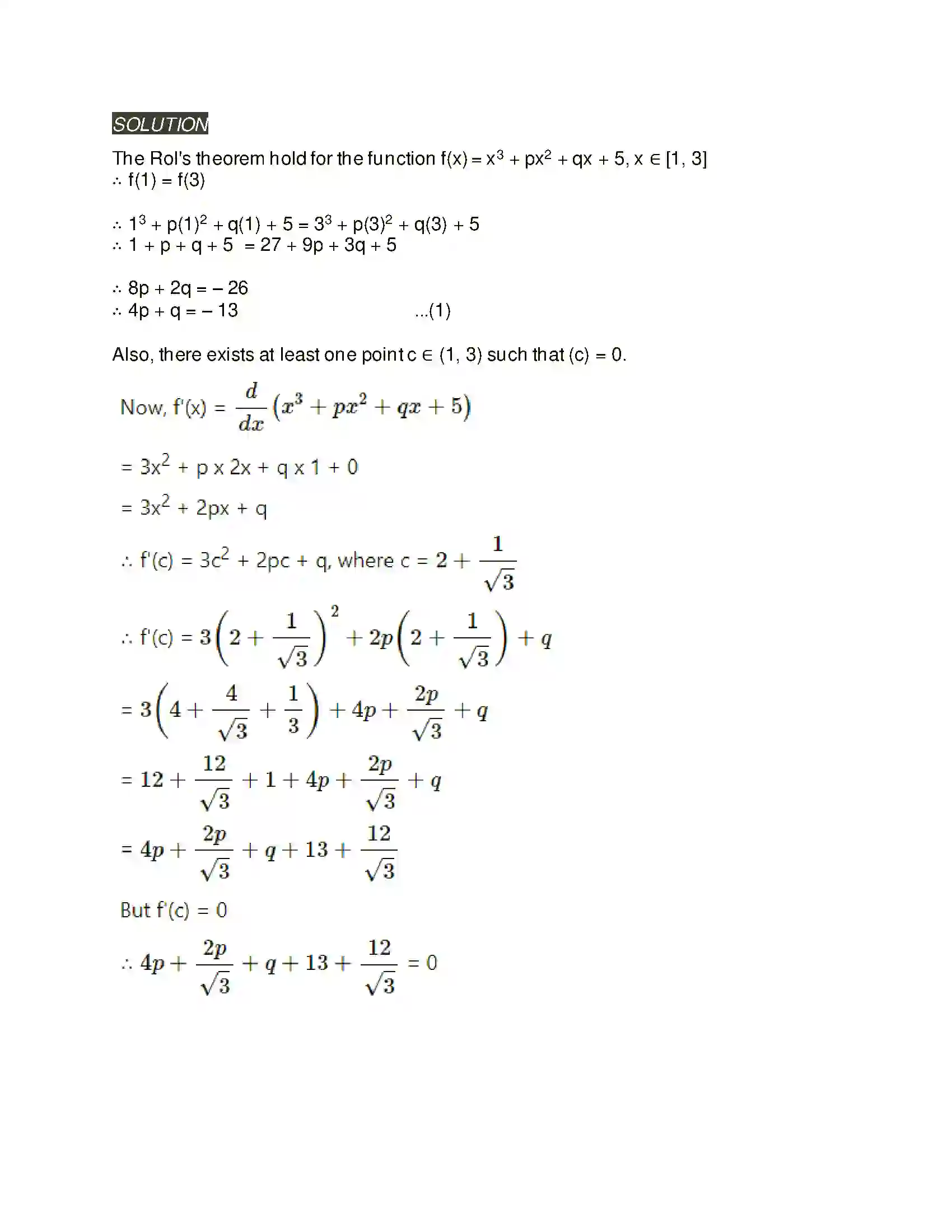
Maharashtra Board Class 12th Mathematics & Statistics-2 (Arts & Science) Applications of Derivatives Solutions

Welcome to Maharashtra Board Class 12th Mathematics & Statistics-2 (Arts & Science) Applications of Derivatives Solutions at MaharashtraBoardSolutions. We provide free access to detailed, step-by-step solutions for the Applications of Derivatives chapter of Mathematics & Statistics-2 (Arts & Science) subject, prescribed by the Maharashtra State Board of Secondary and Higher Secondary Education (MSBSHSE) for Class 12th students.

Maharashtra Board Class 12th Mathematics & Statistics-2 (Arts & Science) Applications of Derivatives Solutions

View the following solutions for Maharashtra Board Class 12th Mathematics & Statistics-2 (Arts & Science) Applications of Derivatives. These solutions are available for viewing online.

Maharashtra Board Class 12th Mathematics & Statistics-2 (Arts & Science) Applications of Derivatives Solution 1
https://maharashtraboardsolutionss.com
Maharashtra Board Class 12th Mathematics & Statistics-2 (Arts & Science) Applications of Derivatives Solution 2
https://maharashtraboardsolutionss.com
Maharashtra Board Class 12th Mathematics & Statistics-2 (Arts & Science) Applications of Derivatives Solution 3
https://maharashtraboardsolutionss.com
Maharashtra Board Class 12th Mathematics & Statistics-2 (Arts & Science) Applications of Derivatives Solution 4
https://maharashtraboardsolutionss.com
Maharashtra Board Class 12th Mathematics & Statistics-2 (Arts & Science) Applications of Derivatives Solution 5
https://maharashtraboardsolutionss.com
Maharashtra Board Class 12th Mathematics & Statistics-2 (Arts & Science) Applications of Derivatives Solution 6
https://maharashtraboardsolutionss.com
Maharashtra Board Class 12th Mathematics & Statistics-2 (Arts & Science) Applications of Derivatives Solution 7
https://maharashtraboardsolutionss.com
Maharashtra Board Class 12th Mathematics & Statistics-2 (Arts & Science) Applications of Derivatives Solution 8
https://maharashtraboardsolutionss.com
Maharashtra Board Class 12th Mathematics & Statistics-2 (Arts & Science) Applications of Derivatives Solution 9
https://maharashtraboardsolutionss.com
Maharashtra Board Class 12th Mathematics & Statistics-2 (Arts & Science) Applications of Derivatives Solution 10
https://maharashtraboardsolutionss.com
Maharashtra Board Class 12th Mathematics & Statistics-2 (Arts & Science) Applications of Derivatives Solution 11
https://maharashtraboardsolutionss.com
Maharashtra Board Class 12th Mathematics & Statistics-2 (Arts & Science) Applications of Derivatives Solution 12
https://maharashtraboardsolutionss.com
Maharashtra Board Class 12th Mathematics & Statistics-2 (Arts & Science) Applications of Derivatives Solution 13
https://maharashtraboardsolutionss.com
Maharashtra Board Class 12th Mathematics & Statistics-2 (Arts & Science) Applications of Derivatives Solution 14
https://maharashtraboardsolutionss.com
Maharashtra Board Class 12th Mathematics & Statistics-2 (Arts & Science) Applications of Derivatives Solution 15
https://maharashtraboardsolutionss.com
Maharashtra Board Class 12th Mathematics & Statistics-2 (Arts & Science) Applications of Derivatives Solution 16
https://maharashtraboardsolutionss.com
Maharashtra Board Class 12th Mathematics & Statistics-2 (Arts & Science) Applications of Derivatives Solution 17
https://maharashtraboardsolutionss.com
Maharashtra Board Class 12th Mathematics & Statistics-2 (Arts & Science) Applications of Derivatives Solution 18
https://maharashtraboardsolutionss.com
Maharashtra Board Class 12th Mathematics & Statistics-2 (Arts & Science) Applications of Derivatives Solution 19
https://maharashtraboardsolutionss.com
Maharashtra Board Class 12th Mathematics & Statistics-2 (Arts & Science) Applications of Derivatives Solution 20
https://maharashtraboardsolutionss.com
Maharashtra Board Class 12th Mathematics & Statistics-2 (Arts & Science) Applications of Derivatives Solution 21
https://maharashtraboardsolutionss.com
Maharashtra Board Class 12th Mathematics & Statistics-2 (Arts & Science) Applications of Derivatives Solution 22
https://maharashtraboardsolutionss.com
Maharashtra Board Class 12th Mathematics & Statistics-2 (Arts & Science) Applications of Derivatives Solution 23
https://maharashtraboardsolutionss.com
Maharashtra Board Class 12th Mathematics & Statistics-2 (Arts & Science) Applications of Derivatives Solution 24
https://maharashtraboardsolutionss.com
Maharashtra Board Class 12th Mathematics & Statistics-2 (Arts & Science) Applications of Derivatives Solution 25
https://maharashtraboardsolutionss.com
Maharashtra Board Class 12th Mathematics & Statistics-2 (Arts & Science) Applications of Derivatives Solution 26
https://maharashtraboardsolutionss.com
Maharashtra Board Class 12th Mathematics & Statistics-2 (Arts & Science) Applications of Derivatives Solution 27
https://maharashtraboardsolutionss.com
Maharashtra Board Class 12th Mathematics & Statistics-2 (Arts & Science) Applications of Derivatives Solution 28
https://maharashtraboardsolutionss.com
Maharashtra Board Class 12th Mathematics & Statistics-2 (Arts & Science) Applications of Derivatives Solution 29
https://maharashtraboardsolutionss.com
Maharashtra Board Class 12th Mathematics & Statistics-2 (Arts & Science) Applications of Derivatives Solution 30
https://maharashtraboardsolutionss.com
Maharashtra Board Class 12th Mathematics & Statistics-2 (Arts & Science) Applications of Derivatives Solution 31
https://maharashtraboardsolutionss.com
Maharashtra Board Class 12th Mathematics & Statistics-2 (Arts & Science) Applications of Derivatives Solution 32
https://maharashtraboardsolutionss.com
Maharashtra Board Class 12th Mathematics & Statistics-2 (Arts & Science) Applications of Derivatives Solution 33
https://maharashtraboardsolutionss.com
Maharashtra Board Class 12th Mathematics & Statistics-2 (Arts & Science) Applications of Derivatives Solution 34
https://maharashtraboardsolutionss.com
Maharashtra Board Class 12th Mathematics & Statistics-2 (Arts & Science) Applications of Derivatives Solution 35
https://maharashtraboardsolutionss.com
Maharashtra Board Class 12th Mathematics & Statistics-2 (Arts & Science) Applications of Derivatives Solution 36
https://maharashtraboardsolutionss.com
Maharashtra Board Class 12th Mathematics & Statistics-2 (Arts & Science) Applications of Derivatives Solution 37
https://maharashtraboardsolutionss.com
Maharashtra Board Class 12th Mathematics & Statistics-2 (Arts & Science) Applications of Derivatives Solution 38
https://maharashtraboardsolutionss.com
Maharashtra Board Class 12th Mathematics & Statistics-2 (Arts & Science) Applications of Derivatives Solution 39
https://maharashtraboardsolutionss.com
Maharashtra Board Class 12th Mathematics & Statistics-2 (Arts & Science) Applications of Derivatives Solution 40
https://maharashtraboardsolutionss.com
Maharashtra Board Class 12th Mathematics & Statistics-2 (Arts & Science) Applications of Derivatives Solution 41
https://maharashtraboardsolutionss.com
Maharashtra Board Class 12th Mathematics & Statistics-2 (Arts & Science) Applications of Derivatives Solution 42
https://maharashtraboardsolutionss.com
Maharashtra Board Class 12th Mathematics & Statistics-2 (Arts & Science) Applications of Derivatives Solution 43
https://maharashtraboardsolutionss.com
Maharashtra Board Class 12th Mathematics & Statistics-2 (Arts & Science) Applications of Derivatives Solution 44
https://maharashtraboardsolutionss.com
Maharashtra Board Class 12th Mathematics & Statistics-2 (Arts & Science) Applications of Derivatives Solution 45
https://maharashtraboardsolutionss.com
Maharashtra Board Class 12th Mathematics & Statistics-2 (Arts & Science) Applications of Derivatives Solution 46
https://maharashtraboardsolutionss.com
Maharashtra Board Class 12th Mathematics & Statistics-2 (Arts & Science) Applications of Derivatives Solution 47
https://maharashtraboardsolutionss.com
Maharashtra Board Class 12th Mathematics & Statistics-2 (Arts & Science) Applications of Derivatives Solution 48
https://maharashtraboardsolutionss.com
Maharashtra Board Class 12th Mathematics & Statistics-2 (Arts & Science) Applications of Derivatives Solution 49
https://maharashtraboardsolutionss.com
Maharashtra Board Class 12th Mathematics & Statistics-2 (Arts & Science) Applications of Derivatives Solution 50
https://maharashtraboardsolutionss.com
Maharashtra Board Class 12th Mathematics & Statistics-2 (Arts & Science) Applications of Derivatives Solution 51
https://maharashtraboardsolutionss.com
Maharashtra Board Class 12th Mathematics & Statistics-2 (Arts & Science) Applications of Derivatives Solution 52
https://maharashtraboardsolutionss.com
Maharashtra Board Class 12th Mathematics & Statistics-2 (Arts & Science) Applications of Derivatives Solution 53
https://maharashtraboardsolutionss.com
Maharashtra Board Class 12th Mathematics & Statistics-2 (Arts & Science) Applications of Derivatives Solution 54
https://maharashtraboardsolutionss.com
Maharashtra Board Class 12th Mathematics & Statistics-2 (Arts & Science) Applications of Derivatives Solution 55
https://maharashtraboardsolutionss.com
Maharashtra Board Class 12th Mathematics & Statistics-2 (Arts & Science) Applications of Derivatives Solution 56
https://maharashtraboardsolutionss.com
Maharashtra Board Class 12th Mathematics & Statistics-2 (Arts & Science) Applications of Derivatives Solution 57
https://maharashtraboardsolutionss.com
Maharashtra Board Class 12th Mathematics & Statistics-2 (Arts & Science) Applications of Derivatives Solution 58
https://maharashtraboardsolutionss.com
Maharashtra Board Class 12th Mathematics & Statistics-2 (Arts & Science) Applications of Derivatives Solution 59
https://maharashtraboardsolutionss.com
Maharashtra Board Class 12th Mathematics & Statistics-2 (Arts & Science) Applications of Derivatives Solution 60
https://maharashtraboardsolutionss.com
Maharashtra Board Class 12th Mathematics & Statistics-2 (Arts & Science) Applications of Derivatives Solution 61
https://maharashtraboardsolutionss.com
Maharashtra Board Class 12th Mathematics & Statistics-2 (Arts & Science) Applications of Derivatives Solution 62
https://maharashtraboardsolutionss.com
Maharashtra Board Class 12th Mathematics & Statistics-2 (Arts & Science) Applications of Derivatives Solution 63
https://maharashtraboardsolutionss.com
Maharashtra Board Class 12th Mathematics & Statistics-2 (Arts & Science) Applications of Derivatives Solution 64
https://maharashtraboardsolutionss.com
Maharashtra Board Class 12th Mathematics & Statistics-2 (Arts & Science) Applications of Derivatives Solution 65
https://maharashtraboardsolutionss.com
Maharashtra Board Class 12th Mathematics & Statistics-2 (Arts & Science) Applications of Derivatives Solution 66
https://maharashtraboardsolutionss.com
Maharashtra Board Class 12th Mathematics & Statistics-2 (Arts & Science) Applications of Derivatives Solution 67
https://maharashtraboardsolutionss.com
Maharashtra Board Class 12th Mathematics & Statistics-2 (Arts & Science) Applications of Derivatives Solution 68
https://maharashtraboardsolutionss.com
Maharashtra Board Class 12th Mathematics & Statistics-2 (Arts & Science) Applications of Derivatives Solution 69
https://maharashtraboardsolutionss.com
Maharashtra Board Class 12th Mathematics & Statistics-2 (Arts & Science) Applications of Derivatives Solution 70
https://maharashtraboardsolutionss.com
Maharashtra Board Class 12th Mathematics & Statistics-2 (Arts & Science) Applications of Derivatives Solution 71
https://maharashtraboardsolutionss.com
Maharashtra Board Class 12th Mathematics & Statistics-2 (Arts & Science) Applications of Derivatives Solution 72
https://maharashtraboardsolutionss.com
Maharashtra Board Class 12th Mathematics & Statistics-2 (Arts & Science) Applications of Derivatives Solution 73
https://maharashtraboardsolutionss.com
Maharashtra Board Class 12th Mathematics & Statistics-2 (Arts & Science) Applications of Derivatives Solution 74
https://maharashtraboardsolutionss.com
Maharashtra Board Class 12th Mathematics & Statistics-2 (Arts & Science) Applications of Derivatives Solution 75
https://maharashtraboardsolutionss.com
Maharashtra Board Class 12th Mathematics & Statistics-2 (Arts & Science) Applications of Derivatives Solution 76
https://maharashtraboardsolutionss.com
Maharashtra Board Class 12th Mathematics & Statistics-2 (Arts & Science) Applications of Derivatives Solution 77
https://maharashtraboardsolutionss.com
Maharashtra Board Class 12th Mathematics & Statistics-2 (Arts & Science) Applications of Derivatives Solution 78
https://maharashtraboardsolutionss.com
Maharashtra Board Class 12th Mathematics & Statistics-2 (Arts & Science) Applications of Derivatives Solution 79
https://maharashtraboardsolutionss.com
Maharashtra Board Class 12th Mathematics & Statistics-2 (Arts & Science) Applications of Derivatives Solution 80
https://maharashtraboardsolutionss.com
Maharashtra Board Class 12th Mathematics & Statistics-2 (Arts & Science) Applications of Derivatives Solution 81
https://maharashtraboardsolutionss.com
Maharashtra Board Class 12th Mathematics & Statistics-2 (Arts & Science) Applications of Derivatives Solution 82
https://maharashtraboardsolutionss.com
Maharashtra Board Class 12th Mathematics & Statistics-2 (Arts & Science) Applications of Derivatives Solution 83
https://maharashtraboardsolutionss.com
Maharashtra Board Class 12th Mathematics & Statistics-2 (Arts & Science) Applications of Derivatives Solution 84
https://maharashtraboardsolutionss.com
Maharashtra Board Class 12th Mathematics & Statistics-2 (Arts & Science) Applications of Derivatives Solution 85
https://maharashtraboardsolutionss.com
Maharashtra Board Class 12th Mathematics & Statistics-2 (Arts & Science) Applications of Derivatives Solution 86
https://maharashtraboardsolutionss.com
Maharashtra Board Class 12th Mathematics & Statistics-2 (Arts & Science) Applications of Derivatives Solution 87
https://maharashtraboardsolutionss.com
Maharashtra Board Class 12th Mathematics & Statistics-2 (Arts & Science) Applications of Derivatives Solution 88
https://maharashtraboardsolutionss.com
Maharashtra Board Class 12th Mathematics & Statistics-2 (Arts & Science) Applications of Derivatives Solution 89
https://maharashtraboardsolutionss.com
Maharashtra Board Class 12th Mathematics & Statistics-2 (Arts & Science) Applications of Derivatives Solution 90
https://maharashtraboardsolutionss.com
Maharashtra Board Class 12th Mathematics & Statistics-2 (Arts & Science) Applications of Derivatives Solution 91
https://maharashtraboardsolutionss.com
Maharashtra Board Class 12th Mathematics & Statistics-2 (Arts & Science) Applications of Derivatives Solution 92
https://maharashtraboardsolutionss.com
Maharashtra Board Class 12th Mathematics & Statistics-2 (Arts & Science) Applications of Derivatives Solution 93
https://maharashtraboardsolutionss.com
Maharashtra Board Class 12th Mathematics & Statistics-2 (Arts & Science) Applications of Derivatives Solution 94
https://maharashtraboardsolutionss.com
Maharashtra Board Class 12th Mathematics & Statistics-2 (Arts & Science) Applications of Derivatives Solution 95
https://maharashtraboardsolutionss.com
Maharashtra Board Class 12th Mathematics & Statistics-2 (Arts & Science) Applications of Derivatives Solution 96
https://maharashtraboardsolutionss.com
Maharashtra Board Class 12th Mathematics & Statistics-2 (Arts & Science) Applications of Derivatives Solution 97
https://maharashtraboardsolutionss.com
Maharashtra Board Class 12th Mathematics & Statistics-2 (Arts & Science) Applications of Derivatives Solution 98
https://maharashtraboardsolutionss.com
Maharashtra Board Class 12th Mathematics & Statistics-2 (Arts & Science) Applications of Derivatives Solution 99
https://maharashtraboardsolutionss.com
Maharashtra Board Class 12th Mathematics & Statistics-2 (Arts & Science) Applications of Derivatives Solution 100
https://maharashtraboardsolutionss.com
Maharashtra Board Class 12th Mathematics & Statistics-2 (Arts & Science) Applications of Derivatives Solution 101
https://maharashtraboardsolutionss.com
Maharashtra Board Class 12th Mathematics & Statistics-2 (Arts & Science) Applications of Derivatives Solution 102
https://maharashtraboardsolutionss.com
Maharashtra Board Class 12th Mathematics & Statistics-2 (Arts & Science) Applications of Derivatives Solution 103
https://maharashtraboardsolutionss.com
Maharashtra Board Class 12th Mathematics & Statistics-2 (Arts & Science) Applications of Derivatives Solution 104
https://maharashtraboardsolutionss.com
Maharashtra Board Class 12th Mathematics & Statistics-2 (Arts & Science) Applications of Derivatives Solution 105
https://maharashtraboardsolutionss.com
Maharashtra Board Class 12th Mathematics & Statistics-2 (Arts & Science) Applications of Derivatives Solution 106
https://maharashtraboardsolutionss.com
Maharashtra Board Class 12th Mathematics & Statistics-2 (Arts & Science) Applications of Derivatives Solution 107
https://maharashtraboardsolutionss.com
Maharashtra Board Class 12th Mathematics & Statistics-2 (Arts & Science) Applications of Derivatives Solution 108
https://maharashtraboardsolutionss.com
Maharashtra Board Class 12th Mathematics & Statistics-2 (Arts & Science) Applications of Derivatives Solution 109
https://maharashtraboardsolutionss.com
Maharashtra Board Class 12th Mathematics & Statistics-2 (Arts & Science) Applications of Derivatives Solution 110
https://maharashtraboardsolutionss.com
Maharashtra Board Class 12th Mathematics & Statistics-2 (Arts & Science) Applications of Derivatives Solution 111
https://maharashtraboardsolutionss.com
Maharashtra Board Class 12th Mathematics & Statistics-2 (Arts & Science) Applications of Derivatives Solution 112
https://maharashtraboardsolutionss.com
Maharashtra Board Class 12th Mathematics & Statistics-2 (Arts & Science) Applications of Derivatives Solution 113
https://maharashtraboardsolutionss.com
Maharashtra Board Class 12th Mathematics & Statistics-2 (Arts & Science) Applications of Derivatives Solution 114
https://maharashtraboardsolutionss.com
Maharashtra Board Class 12th Mathematics & Statistics-2 (Arts & Science) Applications of Derivatives Solution 115
https://maharashtraboardsolutionss.com
Maharashtra Board Class 12th Mathematics & Statistics-2 (Arts & Science) Applications of Derivatives Solution 116
https://maharashtraboardsolutionss.com
Maharashtra Board Class 12th Mathematics & Statistics-2 (Arts & Science) Applications of Derivatives Solution 117
https://maharashtraboardsolutionss.com
Maharashtra Board Class 12th Mathematics & Statistics-2 (Arts & Science) Applications of Derivatives Solution 118
https://maharashtraboardsolutionss.com
Maharashtra Board Class 12th Mathematics & Statistics-2 (Arts & Science) Applications of Derivatives Solution 119
https://maharashtraboardsolutionss.com
Maharashtra Board Class 12th Mathematics & Statistics-2 (Arts & Science) Applications of Derivatives Solution 120
https://maharashtraboardsolutionss.com
Maharashtra Board Class 12th Mathematics & Statistics-2 (Arts & Science) Applications of Derivatives Solution 121
https://maharashtraboardsolutionss.com
Maharashtra Board Class 12th Mathematics & Statistics-2 (Arts & Science) Applications of Derivatives Solution 122
https://maharashtraboardsolutionss.com
Maharashtra Board Class 12th Mathematics & Statistics-2 (Arts & Science) Applications of Derivatives Solution 123
https://maharashtraboardsolutionss.com
Maharashtra Board Class 12th Mathematics & Statistics-2 (Arts & Science) Applications of Derivatives Solution 124
https://maharashtraboardsolutionss.com
Maharashtra Board Class 12th Mathematics & Statistics-2 (Arts & Science) Applications of Derivatives Solution 125
https://maharashtraboardsolutionss.com
Maharashtra Board Class 12th Mathematics & Statistics-2 (Arts & Science) Applications of Derivatives Solution 126
https://maharashtraboardsolutionss.com
Maharashtra Board Class 12th Mathematics & Statistics-2 (Arts & Science) Applications of Derivatives Solution 127
https://maharashtraboardsolutionss.com
Maharashtra Board Class 12th Mathematics & Statistics-2 (Arts & Science) Applications of Derivatives Solution 128
https://maharashtraboardsolutionss.com
Maharashtra Board Class 12th Mathematics & Statistics-2 (Arts & Science) Applications of Derivatives Solution 129
https://maharashtraboardsolutionss.com
Maharashtra Board Class 12th Mathematics & Statistics-2 (Arts & Science) Applications of Derivatives Solution 130
https://maharashtraboardsolutionss.com
Maharashtra Board Class 12th Mathematics & Statistics-2 (Arts & Science) Applications of Derivatives Solution 131
https://maharashtraboardsolutionss.com
Maharashtra Board Class 12th Mathematics & Statistics-2 (Arts & Science) Applications of Derivatives Solution 132
https://maharashtraboardsolutionss.com
Maharashtra Board Class 12th Mathematics & Statistics-2 (Arts & Science) Applications of Derivatives Solution 133
https://maharashtraboardsolutionss.com
Maharashtra Board Class 12th Mathematics & Statistics-2 (Arts & Science) Applications of Derivatives Solution 134
https://maharashtraboardsolutionss.com
Maharashtra Board Class 12th Mathematics & Statistics-2 (Arts & Science) Applications of Derivatives Solution 135
https://maharashtraboardsolutionss.com
Maharashtra Board Class 12th Mathematics & Statistics-2 (Arts & Science) Applications of Derivatives Solution 136
https://maharashtraboardsolutionss.com
Maharashtra Board Class 12th Mathematics & Statistics-2 (Arts & Science) Applications of Derivatives Solution 137
https://maharashtraboardsolutionss.com
Maharashtra Board Class 12th Mathematics & Statistics-2 (Arts & Science) Applications of Derivatives Solution 138
https://maharashtraboardsolutionss.com
Maharashtra Board Class 12th Mathematics & Statistics-2 (Arts & Science) Applications of Derivatives Solution 139
https://maharashtraboardsolutionss.com
Maharashtra Board Class 12th Mathematics & Statistics-2 (Arts & Science) Applications of Derivatives Solution 140
https://maharashtraboardsolutionss.com
Maharashtra Board Class 12th Mathematics & Statistics-2 (Arts & Science) Applications of Derivatives Solution 141
https://maharashtraboardsolutionss.com
Maharashtra Board Class 12th Mathematics & Statistics-2 (Arts & Science) Applications of Derivatives Solution 142
https://maharashtraboardsolutionss.com
Maharashtra Board Class 12th Mathematics & Statistics-2 (Arts & Science) Applications of Derivatives Solution 143
https://maharashtraboardsolutionss.com
Maharashtra Board Class 12th Mathematics & Statistics-2 (Arts & Science) Applications of Derivatives Solution 144
https://maharashtraboardsolutionss.com
Maharashtra Board Class 12th Mathematics & Statistics-2 (Arts & Science) Applications of Derivatives Solution 145
https://maharashtraboardsolutionss.com
Maharashtra Board Class 12th Mathematics & Statistics-2 (Arts & Science) Applications of Derivatives Solution 146
https://maharashtraboardsolutionss.com
Maharashtra Board Class 12th Mathematics & Statistics-2 (Arts & Science) Applications of Derivatives Solution 147
https://maharashtraboardsolutionss.com
Maharashtra Board Class 12th Mathematics & Statistics-2 (Arts & Science) Applications of Derivatives Solution 148
https://maharashtraboardsolutionss.com
Maharashtra Board Class 12th Mathematics & Statistics-2 (Arts & Science) Applications of Derivatives Solution 149
https://maharashtraboardsolutionss.com
Maharashtra Board Class 12th Mathematics & Statistics-2 (Arts & Science) Applications of Derivatives Solution 150
https://maharashtraboardsolutionss.com
Maharashtra Board Class 12th Mathematics & Statistics-2 (Arts & Science) Applications of Derivatives Solution 151
https://maharashtraboardsolutionss.com
Maharashtra Board Class 12th Mathematics & Statistics-2 (Arts & Science) Applications of Derivatives Solution 152
https://maharashtraboardsolutionss.com
Maharashtra Board Class 12th Mathematics & Statistics-2 (Arts & Science) Applications of Derivatives Solution 153
https://maharashtraboardsolutionss.com

Our Maharashtra Board Class 12th Mathematics & Statistics-2 (Arts & Science) Applications of Derivatives Solutions section provides clear, step-by-step answers for textbook questions in the Applications of Derivatives chapter. These solutions help students understand concepts better and learn the correct way to write answers in exams.

Prepared in simple language and exam-oriented format, the solutions cover all topics in the Applications of Derivatives chapter. Whether you are revising at home or checking your practice work, Maharashtra Board Solutions help you learn accurately and prepare with confidence.

All Maharashtra Board Class 12th Mathematics & Statistics-2 (Arts & Science) Applications of Derivatives Solutions available on our platform can be viewed completely free of cost. There's no registration required, no payment needed, and no hidden charges.

Other Chapters of Mathematics & Statistics-2 (Arts & Science)

Browse other chapters of Maharashtra Board Class 12th Mathematics & Statistics-2 (Arts & Science) Solutions. Click on any chapter below to view its content.

Continue Your Maharashtra Board Class 12th Mathematics & Statistics-2 (Arts & Science) Exam Preparation

Continue your exam preparation by exploring other chapters and resources. Combine these solutions with our other resources like Maharashtra Board Books, Previous Year Papers, and Revision Notes for comprehensive preparation.

If you have any questions or need assistance, contact us for help. We're here to help you succeed.