Maharashtra Board Class 12th Chemistry Solutions and Colligative Properties Revision Notes

Welcome to Maharashtra Board Class 12th Chemistry Solutions and Colligative Properties Revision Notes at MaharashtraBoardSolutions. We provide free access to quick revision notes for the Solutions and Colligative Properties chapter of Chemistry subject, designed to help students revise effectively before exams.

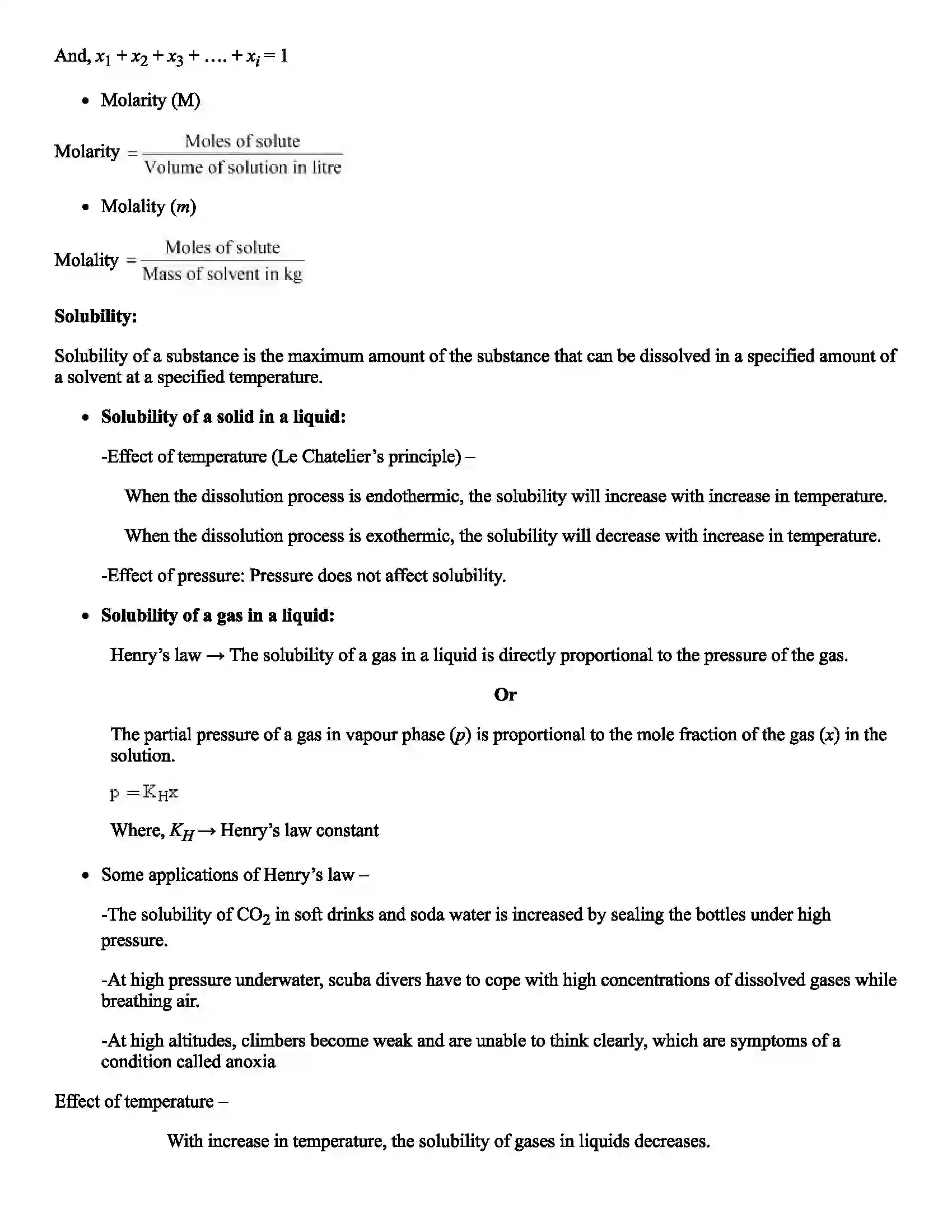
Maharashtra Board Class 12th Chemistry Solutions and Colligative Properties Revision Notes

View the following revision notes for Maharashtra Board Class 12th Chemistry Solutions and Colligative Properties. These notes are available for viewing online.

Maharashtra Board Class 12th Chemistry Solutions and Colligative Properties Revision Note 1
https://maharashtraboardsolutionss.com
Maharashtra Board Class 12th Chemistry Solutions and Colligative Properties Revision Note 2
https://maharashtraboardsolutionss.com
Maharashtra Board Class 12th Chemistry Solutions and Colligative Properties Revision Note 3
https://maharashtraboardsolutionss.com
Maharashtra Board Class 12th Chemistry Solutions and Colligative Properties Revision Note 4
https://maharashtraboardsolutionss.com
Maharashtra Board Class 12th Chemistry Solutions and Colligative Properties Revision Note 5
https://maharashtraboardsolutionss.com
Maharashtra Board Class 12th Chemistry Solutions and Colligative Properties Revision Note 6
https://maharashtraboardsolutionss.com
Maharashtra Board Class 12th Chemistry Solutions and Colligative Properties Revision Note 7
https://maharashtraboardsolutionss.com
Maharashtra Board Class 12th Chemistry Solutions and Colligative Properties Revision Note 8
https://maharashtraboardsolutionss.com

Our Maharashtra Board Class 12th Chemistry Solutions and Colligative Properties Revision Notes are designed to help students revise quickly and effectively. These notes summarize important concepts, formulas, definitions, and key points for the Solutions and Colligative Properties chapter in a clear and easy-to-understand format.

Prepared according to the latest MSBSHSE syllabus, the revision notes help students strengthen understanding, retain information better, and revise with confidence. All materials are available for viewing completely free of cost.

Other Chapters of Chemistry

Browse other chapters of Maharashtra Board Class 12th Chemistry Revision Notes. Click on any chapter below to view its content.

Continue Your Maharashtra Board Class 12th Chemistry Exam Preparation

Continue your exam preparation by exploring other chapters and resources. Combine these notes with our other resources like Maharashtra Board Books, Previous Year Papers, and Solutions for comprehensive preparation.

If you have any questions or need assistance, contact us for help. We're here to help you succeed.